Karnelerimiz

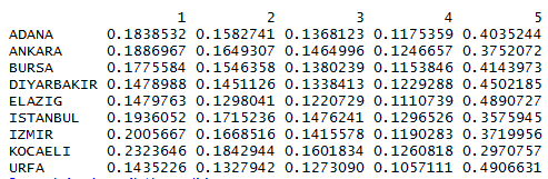
Kendimize karne vermeye basladik, ama yaz tatili, is derken temmuz/agustos atladik. 2014’de de vermedik zaten, o yuzden bunu unutmak gerek. Ama su bilgiyi paylasayim. Son 2 sene 7280 kosu tahmini vermis sistem, ve bunlarin 80%’inde birinci geleni listemize, analizimize katmisiz. 20% civari, soyle ya da boyle sebeplerle (eksik veri, yeni at, degisen sahip vs) sistemimiz birinciyi iskalamis. Sehirlere gore bakarsak, bu kadar yaris tahmini vermisiz:

Screenshot_20

 

Bu sayilara gore, birinciyi tutturma oranimiz asagidaki tablodaki gibi dagilmis. Yani ADANA’da 18% ihtimalle birinciyi bulmusuz, 15.8% ihtimalle ikinci verdigimiz at gelmis, son kolon da, ilk dort’de vermedigimiz atlar icin, yani 60% ihtimalle ADANA’daki yarislarda ilk dort’te bekledigimiz at yaris kazanmis. Bu tablo ayni zamanda ELAZIG, URFA ve DIYARBAKIR’daki tahmin zorlugunu ve surpriz sonuclara gebe bu sehirlerin nasil digerlerinden ayristigini da gosteriyor.

Screenshot_19

 

 

24 thoughts on “Karnelerimiz”

  1. Muhammet taş adlı kullanıcının avatarı Muhammet taş said:

    Selamlar
    Ben muhammet taş yaklaşık 17 yıldır atyarışlarıyla ilgileniyorum para kazanmanın ötesinde altılıyı bulmanin verdiği zevk haz ve yarış izlemenin zevkini almak pesindeyim aslinda zengin değilim bütcemi ailemi zorda birakmayacak şekilde kupon yapiyorum eylencesindeyim yani bu siteyi 1 hafta önce yarislarla ilgili arastirma yaparken buldum talip ettim bundan önce bicok tahmin istatislik siteleri gördüm ama bukadar bilimsel basarili tahminler görmedim teprik eder basarinizin devamini dilerim tesekkürler

  2. NECDET DAMİR adlı kullanıcının avatarı NECDET DAMİR said:

    Lütfen yorumlarınızı yarış programındaki atları numaraları ile yazarsanız başka bültenlere takılmadan daha verimli olarak bu kadar çabayla hazırladığınız çalışmalarınız daha faydalı olacak kanısındayım.çalışmalarınız için teşekkür ederim Saygılarla

  3. Ihsan adlı kullanıcının avatarı Ihsan said:

    Selam arkadaşlar ben sitede yeniyim koşacak olan yarışları bulamıyorum ne zaman yayınlanıyor bulten

  4. Tamer akdemir adlı kullanıcının avatarı Tamer akdemir said:

    Sayın ytkili,
    Urfa çalışmanızda yarışlar birbirine girmiş, gözden geçirirseniz memnun oluruz

  5. Recep adlı kullanıcının avatarı Recep said:

    Listelerde bulunan noname ne anlama geliyor.Galop istatistigi varmi bu istatistiklerin icinde

  6. murat adlı kullanıcının avatarı murat said:

    Basarılarinizın devamıni dilerim

    sizden ricam bir bülten cıkarmayı düşünmedinizmi hiç

  7. Kerim adlı kullanıcının avatarı Kerim said:

    Mükemmel bi site Tüm site yöneticilerine başarılar .. buraya bakmadan altili kurmuyorum birde siteyi ziyaret eden diğer arkadaşlar reklamlara basmayı unutmasınlar destek olalım hep birlikte

  8. Murat Adıyaman adlı kullanıcının avatarı Murat Adıyaman said:

    Merhaba. Efendim. Ben. Otuz. Senedir. Altılı. Oynuyorum. Ve. İnanınki. Bu. Siteyi. Araştırırken. Gördüm. Ve. Çok. Başarılı. Bir. Ekip. İşi. Olduğuna. İnandım. Ve. Takip. Ediyorum. Hatta. Üye. Oldum. Umarım. Güzel. Bir. Altılı. Yakalarım

  9. kadir temel adlı kullanıcının avatarı kadir temel said:

    açıkçası sisteminizi anlayabilmiş değilim. 27/08/2018 bursa 8. koşudaki analizi çözemedim. Elena hanım diye bir at var 4 kez koşmuş hepsinde 0 çekmiş fakat bu at sizin sisteminizde 59,6 puan alıp 2. sıraya oturmuş bu nedir. nasıl bir sistemdir açıklama yaparsanız çok sevinirim. çünkü sisteminizi anlayabilmiş değilim.

  10. tyn06 adlı kullanıcının avatarı tyn06 said:

    ben bu bülteni nasıl kullanıldığını anlayamadım

  11. Dilan Gencaslan adlı kullanıcının avatarı Dilan Gencaslan said:

    Sistemi çözmüş ve kazanç sağlıyor olmak çok güzel bir duygu…canı gönülden teşekkürler

  12. Doğan coşkun adlı kullanıcının avatarı Doğan coşkun said:

    Arkadaslar siteniz cok guzel ellerinize ve emeginize saglik.sizden cok rica ediyorum bana kisaltmalarin aciklamalarini soylemejizi rica rdiyorum.zira handikap kosularda ve sartli aosularda nerelere bakicagimi kafamda bir planlama yapmak istiyorum.ayrica kisa veya uzub yarislarda kosuyu belirlliyor.bu yuzden lg lr lrf ld ve la aciklamanizi yapmanizi bekliyorum .bunu neden israrlada vermek istemediginizi anlamiyorum.sizden sitenizi ilgiyle takip eden birisi ve bir yaris sever olarak lutfen aciklama bekliyorum.en kisa surede donerseniz memnun olurum.iyi calismalar

    • haftasonu verecegim insallah

    • Bu site epeydir faal ve basindan beri ML ve AI teknikleri kullanilarak calisiyor. Bu yuzden 10+ degisik algoritma
      sonuclari kullaniliyor. LG (GLM tarzi algolar), LR (regression teknigi gibi methodlar), LRF (random forest)
      LD (derece tahminine donuk tahmin algolari), LA (daha komplex boosting teknikleri) gibi genellenebilecek algoritma
      ailelerinin kisaltmalari. Bir yerlerde bahsedildi bunlardan. Ama TOTAL sonucumuz genel ensemble metodu ile ozetlenmis
      halde, diger kisaltmalar da kucuk ensemble’ler gibi, yani o algoritmalari kullanarak yaptigmiz tahmin ortalamalari.
      Bunu vermemin nedeni, bazi kosularda bazi metodlar daha iyi calisiyor gibi ve bunun kesfi de belki kullanicilarca
      bulunabilir, ve ayrica bu bir alfa bilgisi. Sahsen ben TOTAL kolonunu onerdim her zaman cogu kullanici icin.

      handikap ve sartli kosulari cok ayirt etmiyorum. kosu ve tay modellerimizde kosu tipi kullanilmiyor, ama mesafe, pist
      ve odul her zaman faktordur. Bunun standardini yakalamak zor, satis kosulari da mesela, karman corman bir genelleme.
      Kisa ve Uzun yarislar onemli, o yuzden tahmin metodlarimiz taylarin o mesafe civarinda kosmus gecmis verilerini kullanir.
      Yani 2000m icin bir yaris tahmininide 1000m sonuclarini ihmal ediyor algoritmalar.

      Sahsen epey vakit once yazdigim kodlar calisiyor ve veri tabanini guncel tutmaya calisiyorum. Cok yakinda bir yenileme
      olacak veri tabaninda ve bu pozitif etkiler performansi diye umuyorum. Islerimin dolayisiyla cok ilgilenemiyorum ama
      tahmin vermeye devam etmeye calisiyorum. Kullanicilarimi yarida birakmak istemem.

  13. ak50ak adlı kullanıcının avatarı ak50ak said:

    Selamlar, başarılar dileriz, görüşmek istiyorum. enghuseyin@msn.com

Yorum bırakın